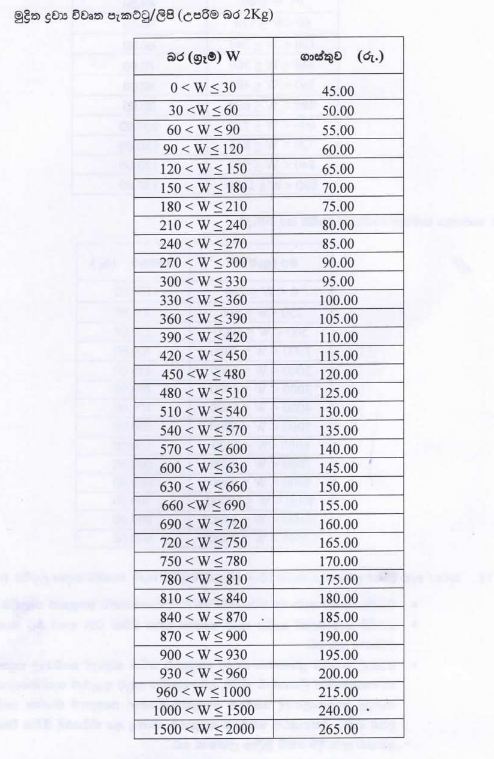
Rates of Postage
Open Letter Rs 45.00 for 30 grams only
Click here to view latest postage
Weight and Size
The maximum weight is 2 kg
Minimum
Envelopes or cards less than 100 mm in length by 70 mm in width must not be used. The material for cards must be ordinary cardboard or paper not more flexible than the postcards issued and sold by the Post Office.
Surcharges
The postage must be prepaid. If posted unpaid the packet is chargeable with double postage. If posted underpaid, with double the amount of the deficiency, subject to a minimum surcharge of Rs.35.00.
A packet prepaid at the Printed Matter Open Packet Rate which is found to contain any enclosure not admissible at that rate or which infringes any of the conditions for Printed Matter Open Packets described in the following rules, shall
- Either be treated as an insufficiently paid postcard (if admissible at that rate) or insufficiently paid letter and charged with double the deficiency due thereon, subject to a minimum surcharge of Rs.35.00; or
- be transferred to the Parcel Post and charged with a fine of RS.1.25 in addition to any deficiency in the postage due on it as a parcel, whichever of these two charges is lower.
Definition
A packet is not necessarily admissible at the Printed Matter Open Packet Rate because it contains nothing but printed matter. The whole of the contents must fall clearly within the definition given.
The expression printed paper means a packet not exceeding 2 kg in weight which consist of or contains one or more of the following articles or documents :
- Books and other publications or works of a literary character, whether containing written dedications or not, and any other written or printed matter not being in the nature of a letter (on paper or on some substance ordinarily used for writing or printing);
- Periodicals registered as newspapers in foreign countries.
- Sketches, drawings, paintings, photographic prints, and engravings on paper or on some substance ordinarily used for the purpose, provided it is not a brittle or exceptionally fragile substance.
- Maps, plans and charts, on paper or some other substance ordinarily used for the purpose, provided it is not a brittle or exceptionally fragile substance.
- The binding or mounting of any article described above, provided such binding or mounting is of a kind ordinarily used for the purpose, is not made of glass, or any brittle or exceptionally fragile substance, and is transmitted in the same packet with the article in respect of which it is used.
- Articles and documents described under Admissible Documents.
Make Up
Printed papers should be clearly marked in the upper left-hand corner ” Printed Papers”.
Every Printed Matter Open Packet is subject to examination in the post and should be posted either without a cover, or in an unfastened envelope, or in a cover which can be easily removed for the purpose of examination without breaking any seal or tearing any paper or separating any adhering surfaces. A packet without a cover may not be fastened or otherwise treated so as to prevent easy examination, or it may not be partially closed by means of gum or by affixing a postage stamp or stamp-edging.
Printed Papers may be sent unenclosed if they are folded in such a way that they cannot become unfolded during transmission and there is no risk of their entrapping other articles.
Printed Papers of the form and substance of a card may be sent unenclosed without a band, envelope, or fastening. The right- hand half at least of the address side of Printed Papers sent as cards should be reserved for the address of the addressee and indications or labels of the Postal Service.
Cards bearing the heading “Postcard” are admitted at the rate for Printed Papers provided that they conform to the general conditions applicable to Printed Papers. Those which do not fulfil these conditions are treated as postcards or letters as the case may be.
Style of Printing
- In the foregoing definition of a printed document expressions referring to print or printing shall be taken to refer to any species of type printing easy to recognize, and to include lithography, hand stamping or any mechanical process ordinarily used to produce a number of identical copies of handwritten matter and easy to recognise; and in relation to circulars shall also be taken to include type printing after the fashion or in imitation of typewriting, and also the reproduction of typewriting by the mimeograph or any other mechanical process ordinarily used to produce a number of identical copies of written matter.
- The expressions referring to writing shall be taken to include typewriting or any mechanical or other process ordinarily used to produce a single document.
